一、工程建设进展:
1、线站大厅开展外幕墙装饰收尾,园区进行市政管线埋设、地形整理和苗木栽植。

二、同步辐射光源建设进展:
1、第一套直线加速器波导脉冲压缩器安装完成。

2、脉冲切割磁铁真空腔体加工完成。

3、直线隧道内所有波导安装完成。

4、直线磁铁电源机柜整体完成通电测试。

5、环境站测试运行正常。


6、高频腔高功率测试功率源系统收货。

7、直线所有磁铁电源接入控制网络和通信测试完成。

8、60台储存环四极磁铁收货并顺利转运。

三、超瞬态电子显微集群建设进展:
1、超瞬态透射电镜进展①:探测光引入港腔体内部反射镜调整架加工完成,并在腔体上进行安装测试。

超瞬态透射电镜进展②:开展亚纳米分辨三维取向重构技术的开发与优化工作。


2、超瞬态四维X射线显微镜进展:开展多模态X射线显微镜的数据可视化与分析程序构建,搭建可视化模块,依托数据耦合技术开发特征提取、高通量分析等功能。

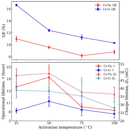
3、超瞬态低能电镜进展①:完成GaAs光阴极Cs-Te激活的理论和实验研究,研究表明由于Te元素与Ga、As、Cs等原子间较弱的相互作用,使得Cs-Te激活相较于传统的Cs-O激活具有更长的光阴极工作寿命。

超瞬态低能电镜进展②:进行超瞬态低能电子显微镜超净间实验室方案设计和招标采购。
